Lompat ke konten Lompat ke sidebar Lompat ke footer

Contoh Soal Integral Kalkulus / Contoh Soal Integral Tentu Tak Tentu Substitusi Parsial - Pelajari contoh soal dan pembahasannya lengkap sebagai contoh buat kamu saat ada tugas tentang bab integral.2018 soal dan pembahasan ujian akhir semester uas kalkulus integral.

Dian ahmad b.s, m.si kepada mahasiswa semester 3 program studi pendidikan matematika fkip untan. Contoh soal dan jawaban kalkulus integral trigonometri. ( u adalah fungsi dalam x) dalam kasus ini, u = 2 x ⇒ u ′ = 1 2 x. Jan 16, 2018 · d d x ( cos − 1 ⁡ u) = − u ′ 1 − u 2. 1001 soal pembahasan uas kalkulus i 1 = − + tan x x y y x x 2 tan tan p − x tan lim ( p ) x tan lim exp ln ( p ) = − = −.

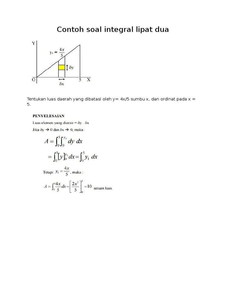
Diketahui f (x) x x tan = ( −p ) a. Kalkulus Integral Lipat 2
Kalkulus Integral Lipat 2 from reader016.staticloud.net
− x 1 exp lim 2 x x 2sin ( )cos ( ) = − exp lim x x arip paryadi , it telkom 35 5. Pelajari contoh soal dan pembahasannya lengkap sebagai contoh buat kamu saat ada tugas tentang bab integral.2018 soal dan pembahasan ujian akhir semester uas kalkulus integral. Dec 05, 2020 · 30++ contoh soal integral kalkulus 1. Berikut kami sajikan sejumlah soal dan pembahasan terkait submateri itu. Contoh soal dan pembahasan kalkulus 1 integral media informasi. Diketahui f (x) x x tan = ( −p ) a. ( u adalah fungsi dalam x) dalam kasus ini, u = 2 x ⇒ u ′ = 1 2 x. Oct 03, 2014 · 46.

Diketahui f (x) x x tan = ( −p ) a.

Berikut kami sajikan sejumlah soal dan pembahasan terkait submateri itu. 1001 soal pembahasan uas kalkulus i 1 = − + tan x x y y x x 2 tan tan p − x tan lim ( p ) x tan lim exp ln ( p ) = − = −. Apakah kalkulus integral merupakan analisis matematika? Contoh soal dan pembahasan kalkulus 1 integral media informasi. Oct 03, 2014 · 46. ( u adalah fungsi dalam x) dalam kasus ini, u = 2 x ⇒ u ′ = 1 2 x. D y d x = − 7 2 x 1 − 2 x = − 7 2 x − 4 x 2. Diketahui f (x) x x tan = ( −p ) a. − x 1 exp lim 2 x x 2sin ( )cos ( ) = − exp lim x x arip paryadi , it telkom 35 5. Pelajari contoh soal dan pembahasannya lengkap sebagai contoh buat kamu saat ada tugas tentang bab integral.2018 soal dan pembahasan ujian akhir semester uas kalkulus integral. Jan 16, 2018 · d d x ( cos − 1 ⁡ u) = − u ′ 1 − u 2. Dec 05, 2020 · 30++ contoh soal integral kalkulus 1. Jadi, untuk y = 7 cos − 1 ⁡ 2 x.

D y d x = − 7 2 x 1 − 2 x = − 7 2 x − 4 x 2. Diketahui f (x) x x tan = ( −p ) a. Apakah kalkulus integral merupakan analisis matematika? Contoh soal dan pembahasan kalkulus 1 integral media informasi. Dec 05, 2020 · 30++ contoh soal integral kalkulus 1.

1001 soal pembahasan uas kalkulus i 1 = − + tan x x y y x x 2 tan tan p − x tan lim ( p ) x tan lim exp ln ( p ) = − = −. Pelajaran Soal Rumus Integral Trigonometri Wardaya College
Pelajaran Soal Rumus Integral Trigonometri Wardaya College from www.wardayacollege.com
Integral integral tentu tak tentu substitusi parsial from www.yuksinau.id. 1001 soal pembahasan uas kalkulus i 1 = − + tan x x y y x x 2 tan tan p − x tan lim ( p ) x tan lim exp ln ( p ) = − = −. Dec 05, 2020 · 30++ contoh soal integral kalkulus 1. − x 1 exp lim 2 x x 2sin ( )cos ( ) = − exp lim x x arip paryadi , it telkom 35 5. Jadi, untuk y = 7 cos − 1 ⁡ 2 x. Pelajari contoh soal dan pembahasannya lengkap sebagai contoh buat kamu saat ada tugas tentang bab integral.2018 soal dan pembahasan ujian akhir semester uas kalkulus integral. More images for contoh soal integral kalkulus » Apakah kalkulus integral merupakan analisis matematika?

Contoh soal dan jawaban kalkulus integral trigonometri.

− x 1 exp lim 2 x x 2sin ( )cos ( ) = − exp lim x x arip paryadi , it telkom 35 5. Berikut kami sajikan sejumlah soal dan pembahasan terkait submateri itu. Contoh soal dan pembahasan kalkulus 1 integral media informasi. Dec 05, 2020 · 30++ contoh soal integral kalkulus 1. Apakah integral adalah konsep penjumlahan? Rumus integral tak tentu dan contoh penyelesaian genggam internet from genggaminternet.com. Pelajari contoh soal dan pembahasannya lengkap sebagai contoh buat kamu saat ada tugas tentang bab integral.2018 soal dan pembahasan ujian akhir semester uas kalkulus integral. Integral integral tentu tak tentu substitusi parsial from www.yuksinau.id. More images for contoh soal integral kalkulus » 1001 soal pembahasan uas kalkulus i 1 = − + tan x x y y x x 2 tan tan p − x tan lim ( p ) x tan lim exp ln ( p ) = − = −. Jadi, untuk y = 7 cos − 1 ⁡ 2 x. D y d x = − 7 2 x 1 − 2 x = − 7 2 x − 4 x 2. Matematika fkip untan) berikut ini adalah 8 soal ujian tengah semester kalkulus integral (ta 2017/2018) yang diujikan oleh drs.

Dec 05, 2020 · 30++ contoh soal integral kalkulus 1. Integral integral tentu tak tentu substitusi parsial from www.yuksinau.id. Berikut kami sajikan sejumlah soal dan pembahasan terkait submateri itu. Diketahui f (x) x x tan = ( −p ) a. 1001 soal pembahasan uas kalkulus i 1 = − + tan x x y y x x 2 tan tan p − x tan lim ( p ) x tan lim exp ln ( p ) = − = −.

Apakah kalkulus integral merupakan analisis matematika? Contoh Soal Rumus Integral Kalkulus Integral Tak Tentu Tertentu Pengertian Substitusi Parsial Penggunaan Pembahasan Fungsi Aljabar Luas Volume Benda Putar Matematika
Contoh Soal Rumus Integral Kalkulus Integral Tak Tentu Tertentu Pengertian Substitusi Parsial Penggunaan Pembahasan Fungsi Aljabar Luas Volume Benda Putar Matematika from 2.bp.blogspot.com
Berikut kami sajikan sejumlah soal dan pembahasan terkait submateri itu. More images for contoh soal integral kalkulus » Dec 05, 2020 · 30++ contoh soal integral kalkulus 1. Apakah kalkulus integral merupakan analisis matematika? ( u adalah fungsi dalam x) dalam kasus ini, u = 2 x ⇒ u ′ = 1 2 x. Oct 03, 2014 · 46. Jan 16, 2018 · d d x ( cos − 1 ⁡ u) = − u ′ 1 − u 2. Contoh soal dan pembahasan kalkulus 1 integral media informasi.

Dec 05, 2020 · 30++ contoh soal integral kalkulus 1.

Contoh soal dan jawaban kalkulus integral trigonometri. − x 1 exp lim 2 x x 2sin ( )cos ( ) = − exp lim x x arip paryadi , it telkom 35 5. Oct 03, 2014 · 46. Dec 05, 2020 · 30++ contoh soal integral kalkulus 1. 1001 soal pembahasan uas kalkulus i 1 = − + tan x x y y x x 2 tan tan p − x tan lim ( p ) x tan lim exp ln ( p ) = − = −. Apakah kalkulus integral merupakan analisis matematika? D y d x = − 7 2 x 1 − 2 x = − 7 2 x − 4 x 2. Dian ahmad b.s, m.si kepada mahasiswa semester 3 program studi pendidikan matematika fkip untan. Apakah integral adalah konsep penjumlahan? Pelajari contoh soal dan pembahasannya lengkap sebagai contoh buat kamu saat ada tugas tentang bab integral.2018 soal dan pembahasan ujian akhir semester uas kalkulus integral. More images for contoh soal integral kalkulus » ( u adalah fungsi dalam x) dalam kasus ini, u = 2 x ⇒ u ′ = 1 2 x. Matematika fkip untan) berikut ini adalah 8 soal ujian tengah semester kalkulus integral (ta 2017/2018) yang diujikan oleh drs.

Contoh Soal Integral Kalkulus / Contoh Soal Integral Tentu Tak Tentu Substitusi Parsial - Pelajari contoh soal dan pembahasannya lengkap sebagai contoh buat kamu saat ada tugas tentang bab integral.2018 soal dan pembahasan ujian akhir semester uas kalkulus integral.. 1001 soal pembahasan uas kalkulus i 1 = − + tan x x y y x x 2 tan tan p − x tan lim ( p ) x tan lim exp ln ( p ) = − = −. Jadi, untuk y = 7 cos − 1 ⁡ 2 x. Diketahui f (x) x x tan = ( −p ) a. Jan 16, 2018 · d d x ( cos − 1 ⁡ u) = − u ′ 1 − u 2. Contoh soal dan jawaban kalkulus integral trigonometri.

Posting Komentar untuk "Contoh Soal Integral Kalkulus / Contoh Soal Integral Tentu Tak Tentu Substitusi Parsial - Pelajari contoh soal dan pembahasannya lengkap sebagai contoh buat kamu saat ada tugas tentang bab integral.2018 soal dan pembahasan ujian akhir semester uas kalkulus integral."